近期,a漫
周雅教授课题组在中科院1区TOP期刊《Journal of Cleaner Production》期刊发表题为“Environmental impacts and mitigation potentials of CO2-based biodegradable plastic based on life cycle assessment —— A case study of poly(propylene carbonate)”的研究论文。周雅教授为论文通讯作者,硕士研究生陈致通为论文第一作者,合作单位包括中国科学院长春应用化学研究所、北京工业大学。

文章导读
过去几十年中,塑料的生产和使用呈指数级增长,给生态环境、人体健康和气候带来广泛影响。塑料污染不仅发生于塑料废物产生环节,还涵盖了塑料材料和产品全生命周期过程。全球90%以上塑料来自石油等化石燃料,塑料生产和处置过程伴随大量碳排放,塑料是全球增长最快的工业温室气体排放源。二氧化碳利用将二氧化碳作为原料,生产高价值化学品,有助于降低化石燃料消耗、减缓气候变化。二氧化碳已作为原料用于生产甲醇、尿素、聚碳酸酯、聚氨酯和聚碳酸丙烯酯等产品。
作为塑料替代品,二氧化碳基生物降解塑料是解决塑料污染的重要途径之一。聚碳酸亚丙酯(PPC)是基于二氧化碳和环氧丙烷合成的完全生物降解脂肪族聚酯,由于其透明性、无毒性、阻隔性高、抗冲击韧性和生物相容性好等特点,已被用于食品、包装、生物医疗等领域。以往二氧化碳基共聚物研究主要集中于材料合成,近年来,以二氧化碳为原料制备聚乙烯、聚丙烯、橡胶等环境影响受到关注,研究发现二氧化碳基聚合物在减少温室气体排放和化石燃料消耗方面具有优势。二氧化碳基生物降解塑料环境影响尚未受到关注,影响塑料替代品环境效益的评估。
中国是全球最大生物降解塑料生产国,PPC产能占其全球总产能94%。本研究基于中国PPC及其原料的工业生产技术,开展生命周期评价,探究PPC环境影响以及新兴生产技术和可再生能源替代的环境减排潜力,比较PPC与传统塑料的环境影响,探讨二氧化碳基生物降解塑料的可持续性。研究结果为PPC及其原料的生产工艺优化、合成技术创新及降低环境影响提供新见解。本研究为生物降解塑料政策制定、塑料行业净零排放提供数据支持和科学依据。
论文摘要
CO2基生物降解塑料是减少化石燃料消耗、缓解气候变化和塑料污染的潜在解决方案。聚碳酸亚丙酯(PPC)是以二氧化碳和环氧丙烷为原料的二氧化碳基生物降解塑料,已用于包装、地膜等领域,但PPC环境影响尚不明晰。中国是全球最大PPC生产国,本研究以中国PPC及其原料工业生产技术为基础,编制了PPC树脂从摇篮到大门生命周期清单,采用ReCiPe 2016方法评估PPC生命周期环境影响及减排潜力。结果表明,PPC合成过程对PPC环境影响贡献最大(在16个环境影响指标占38-95%),其次是环氧丙烷合成。研究设置技术进步与可再生能源替代情景,以探究PPC减排潜力。发现相比光伏发电替代火电,PPC合成技术创新具有更大减排潜力,超临界聚合技术可减少PPC合成过程能源和二氯甲烷消耗,使17个环境影响指标下降17-96%。光伏发电替代火电仅减少11个环境影响指标的2-22%。PPC在17个环境影响指标中优于传统塑料。本研究强调了技术创新在减少PPC生命周期环境影响的重要性,为二氧化碳基生物降解塑料的环境表现和替代传统塑料潜力提供依据。研究还提出了合成技术开发、可持续原料创新及环境影响评估方面的政策建议,有助于通过生物降解塑料替代提高塑料行业的可持续性。

图1 聚碳酸亚丙酯生命周期评价系统边界(CP表示以氯醇法生产环氧丙烷,HPPO表示以过氧化氢直接氧化法生产环氧丙烷)

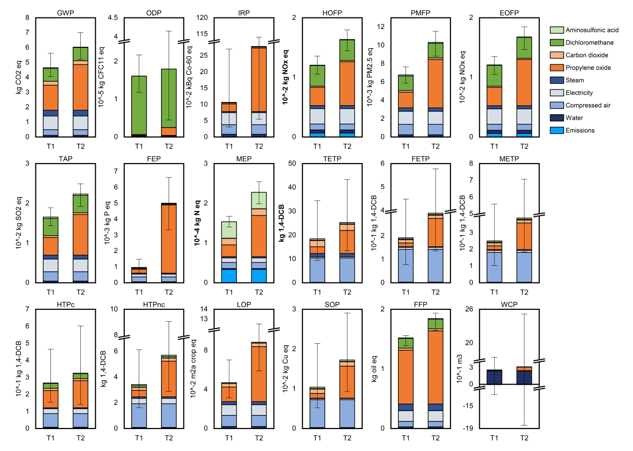
图2 PPC“摇篮到大门”生命周期环境影响评估结果(T1表示以过氧化氢直接氧化法生产环氧丙烷为原料制备PPC,T2表示以氯醇法生产环氧丙烷为原料制备PPC。蓝色柱子表示PPC合成过程中能耗、水耗及排放,橙色柱子表示PPC合成所需原料,绿色柱子表示PPC合成过程的辅料投入)

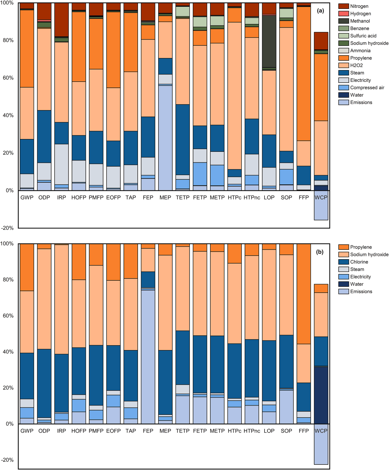
图3过氧化氢直接氧化法(a)和氯醇法 (b)生产PO生命周期环境影响评价结果(蓝色柱子表示PO合成的能耗、水耗及排放,橘色柱子表示PO合成所需原料,绿色柱子表示PO合成中非气体辅料投入;红色表示PO合成中气体辅料投入)

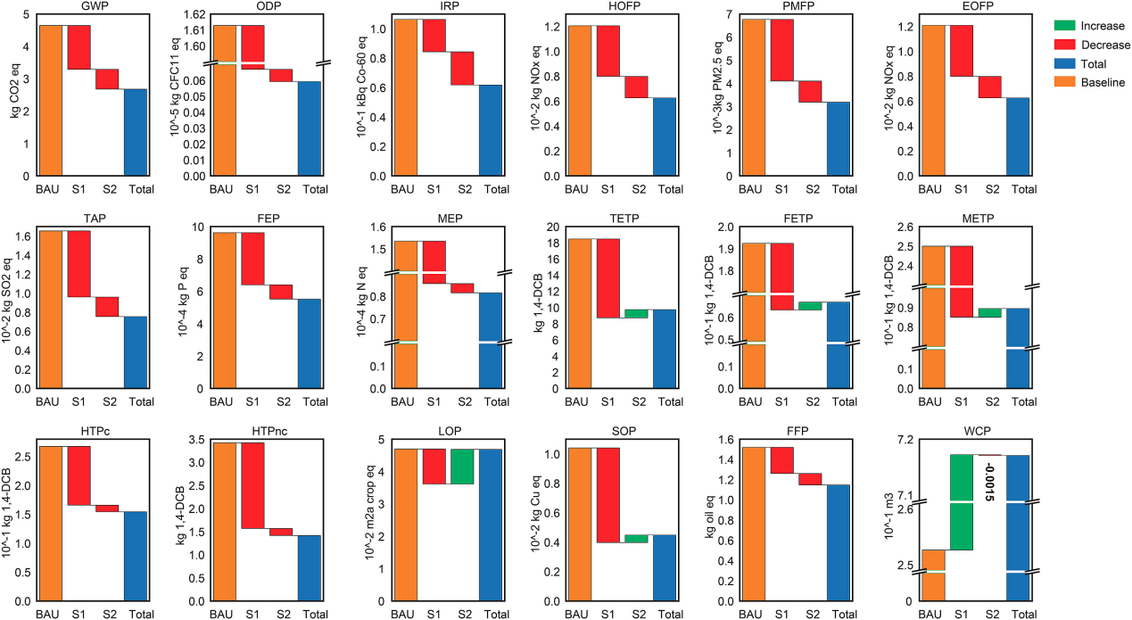
图4 PPC环境影响在技术创新情景(S1)和可再生能源替代情景(S2)的减排潜力(BAU表示基准情景,即采用本体聚合技术生产PPC,HPPO技术生产PO;S1表示技术创新情景,即采用二氧化碳超临界聚合(CSP)技术生产PPC;S2表示可再生能源替代情景,即PPC和PO合成所消耗的电力来自光伏发电;Total指S1和S2综合情景)

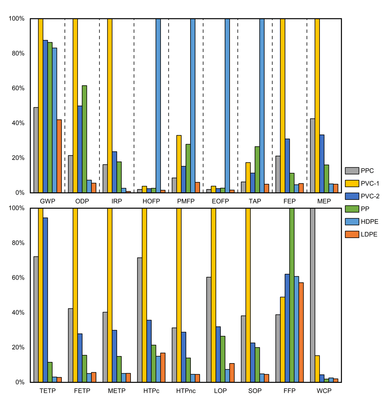
图5 PPC与传统塑料的环境影响比较(PVC-1和PVC-2分别表示通过电石法和乙烯法生产聚氯乙烯)
该研究得到国家重点研发计划(2022YFC3901800)和国家自然科学基金项目(52222007,52170179)的支持。